UP | HOME

Chapter 13.3

Table of Contents

13.3

13.3-1

If we set the newly inserted node \(z\) to black, then we might violate the property 5, and it's more difficult to fix property 5 than property 4.

13.3-2

  1. Insert \(41\).

    ch13-3-1.png

  2. Insert \(38\).

    ch13-3-2.png

  3. Insert \(31\).

    ch13-3-3.png

  4. Insert \(12\).

    ch13-3-4.png

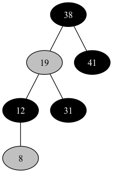
  5. Insert \(19\).

    ch13-3-5.png

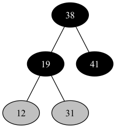
  6. Insert \(8\).

    ch13-3-6.png

13.3-3

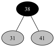
  1. For case 1.

    ch13-3-7.png

    ch13-3-8.png

  2. For case 2 & 3.

    ch13-3-9.png

13.3-4

If we set \(T.nil.color\) to RED, then we must have set the color of \(T.root\) RED too, this is impossible because we would only set the color of one node to RED in an iteration, and then move up two levels in the tree or end the loop. Thus, we never sets \(T.nil.color\) to RED in RB-INSERT-FIXUP.

13.3-5

Note that we would only color the nodes BLACK in RB-INSERT-FIXUP, in the RB-INSERT-FIXUP procedure, if the while loop never iterates, then we only color \(T.root\) BLACK, but we have \(n > 1\), thus the new node \(z\) is not colored BLACK; else the while loop iterates, for each iteration, if it goes case 1 in Figure 13.5, after the iteration, we colored the node on the bottom RED, and if it goes case 2 or case 3 in Figure 13.6, after the iteration, we colored the two nodes on the bottom RED, when the while loop finished, we color \(T.root\) BLACK, but after the iterations, we will not color the bottom red nodes BLACK. Hence, if \(n > 1\), the tree has at least one red node.

13.3-6

We could use a stack to store the nodes on the simple path down to \(z\), and pop the nodes out if we need to get the ancestor nodes of \(z\), the modified procedures are as below.

RB-INSERT(T, z)
    y = T.nil
    x = T.root
    let S be an empty stack
    PUSH(S, y)
    while x != T.nil
        y = x
        PUSH(S, y)
        if z.key < x.key
            x = x.left
        else x = x.right
    if y == T.nil
        T.root = z
    else if z.key < y.key
        y.left = z
    else y.right = z
    z.left = T.nil
    z.right = T.nil
    z.color = RED
    RB-INSERT-FIXUP(T, z, S)

RB-INSERT-FIXUP(T, z, S)
    zp = POP(S)
    while zp.color == RED
        zpp = POP(S)
        if zp == zpp.left
            y = zpp.right
            if y.color == RED
                zp.color = BLACK
                y.color = BLACK
                zpp.color = RED
                z = zpp
                zp = POP(S)
            else if z == zp.right
                     z = zp
                     LEFT-ROTATE(T, z, zp)
                 zp.color = BLACK
                 zpp.color = RED
                 zppp = POP(S)
                 RIGHT-ROTATE(T, zpp, zppp)
        else (same as then clause with "right" and "left" exchanged)
    T.root.color = BLACK

LEFT-ROTATE(T, x, xp)
    y = x.right
    x.right = y.left
    if xp == T.nil
        T.root = y
    else if x == xp.left
        xp.left = y
    else xp.right = y
    y.left = x

RIGHT-ROTATE(T, y, yp)
    x = y.left
    y.left = x.right
    if yp == T.nil
        T.root = x
    else if y == yp.left
        yp.left = x
    else yp.right = x
    x.right = y

Author: pedh

Created: 2023-08-17 Thu 10:36

Validate