UP | HOME

Chapter 13.4

Table of Contents

13.4

13.4-1

In both cases, we won't change the color of the root, thus after executing RB-DELETE-FIXUP, the root of the tree must be black.

13.4-2

If we have colored both \(x\) and \(x.p\) red, the call to RB-DELETE-FIXUP will simply color \(x\) black, and restore property 4.

13.4-3

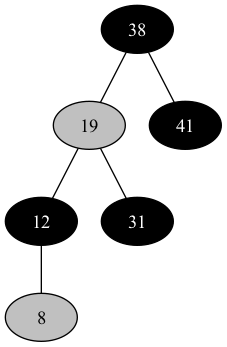
  1. The initial tree.

    ch13-4-1.png

  2. Delete \(8\).

    ch13-4-2.png

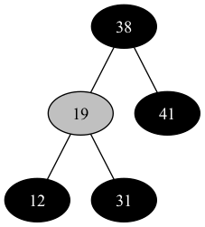
  3. Delete \(12\).

    ch13-4-3.png

  4. Delete \(19\).

    ch13-4-4.png

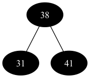
  5. Delete \(31\).

    ch13-4-5.png

  6. Delete \(38\).

    ch13-4-6.png

  7. Delete \(41\), the tree becomes empty.

13.4-4

We might examine or modify the sentinel \(T.nil\) in those lines as below.

  • Line 1, since \(x\) might be \(T.nil\), and we examine the condition \(x.color == BLACK\).
  • Line 2, since \(x\) might be \(T.nil\), and we examine the condition \(x == x.p.left\).
  • Line 9, since both \(w.left\) and \(w.right\) might be \(T.nil\), and we examine the conditions \(w.left.color == BLACK\) and \(w.right.color == BLACK\).
  • Line 12, since \(w.right\) might be \(T.nil\), and we examine the condition \(w.right.color == BLACK\).
  • Line 20, since \(w.left\) might be \(T.nil\), and we modify \(w.left.p\) from \(w\) to \(x.p\).
  • Line 23, since \(x\) might be \(T.nil\), and we modify \(x.color\) to \(BLACK\).

13.4-5

  • Case 1

      Before transformation After transformation
    α 2 2
    β 2 2
    γ 2 2
    δ 2 2
    ε 2 2
    ζ 2 2
  • Case 2

      Before transformation After transformation
    α color(c) + 1 color(c) + 1
    β color(c) + 1 color(c) + 1
    γ color(c) + 2 color(c) + 2
    δ color(c) + 2 color(c) + 2
    ε color(c) + 2 color(c) + 2
    ζ color(c) + 2 color(c) + 2
  • Case 3

      Before transformation After transformation
    α color(c) + 1 color(c) + 1
    β color(c) + 1 color(c) + 1
    γ color(c) + 1 color(c) + 1
    δ color(c) + 1 color(c) + 1
    ε color(c) + 2 color(c) + 2
    ζ color(c) + 2 color(c) + 2
  • Case 4

      Before transformation After transformation
    α color(c) + 1 color(c) + 1
    β color(c) + 1 color(c) + 1
    γ color(c) + color(c') + 1 color(c) + color(c') + 1
    δ color(c) + color(c') + 1 color(c) + color(c') + 1
    ε color(c) + 1 color(c) + 1
    ζ color(c) + 1 color(c) + 1

13.4-6

In case 1, \(x\)'s sibling \(w\) is a red node, and we left both \(w\) and its parent \(p\) untouched before RB-DELETE-FIXUP, thus \(p\) must be black at the start of case 1, otherwise we violate red-black property 4.

13.4-7

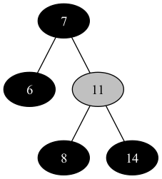
The resulting tree may not be the same as the initial red-black tree. Below is the counter example.

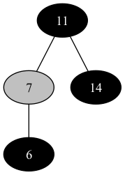
  1. The initial tree.

    ch13-4-7.png

  2. Insert \(8\).

    ch13-4-8.png

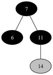
  3. Delete \(8\).

    ch13-4-9.png

Author: pedh

Created: 2023-08-17 Thu 10:36

Validate